China’s ‘replica’ guns for Solomon Islands likely real, US cable claimed
US diplomats doubted explanations that Chinese shipment contained replica weapons, previously unseen documents show.

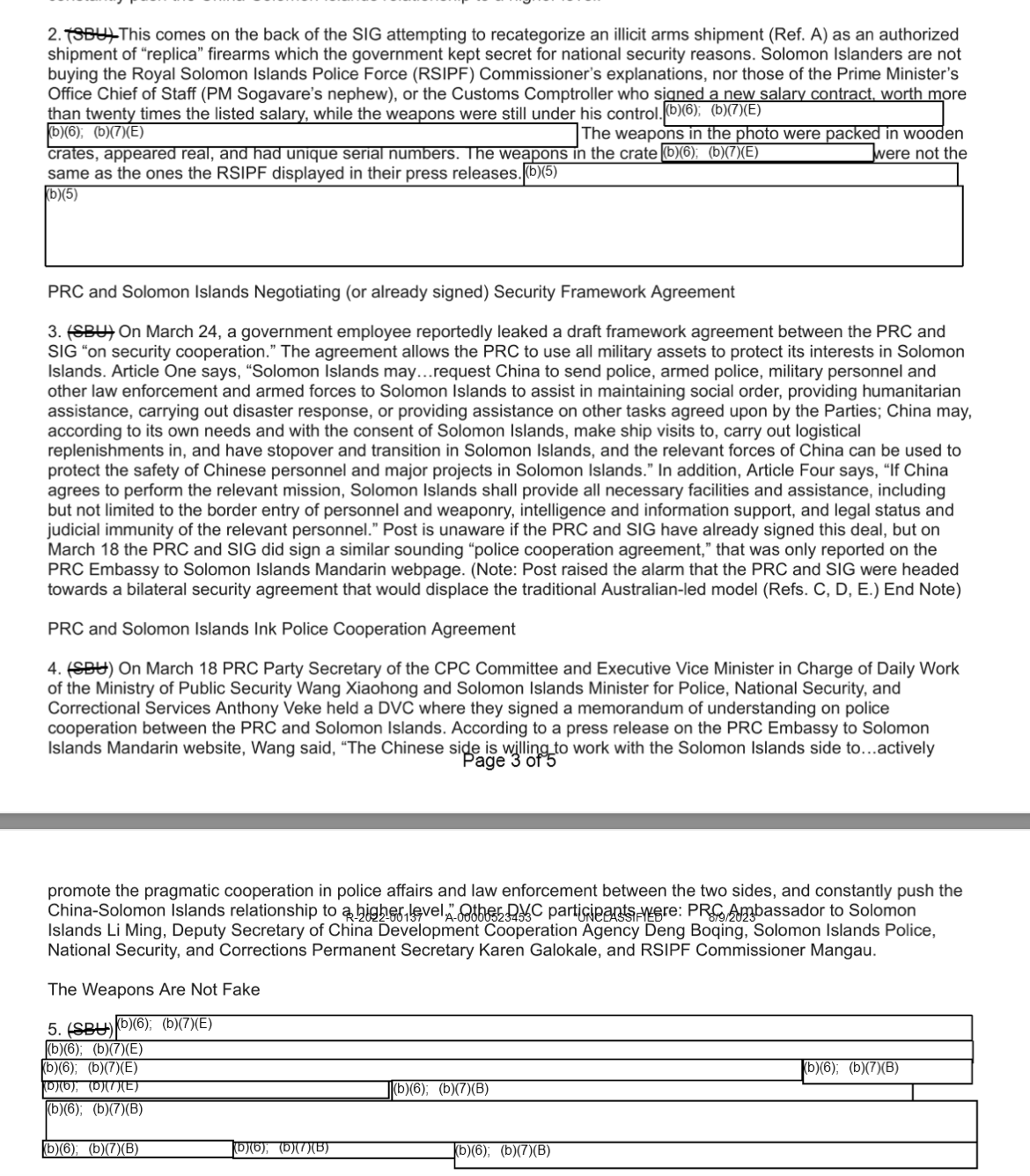
China likely shipped genuine firearms to the Solomon Islands when its donation of “replica” weapons to police last year sparked a political firestorm in the tiny Pacific Island country, a previously unseen diplomatic cable claimed.
Police in the Solomon Islands said they received imitation firearms from China for training purposes after claims in local media of a secret illicit weapons shipment in March 2022 prompted an outcry from residents and opposition politicians.
Recommended Stories
list of 4 items- list 1 of 4Why are world leaders racing to the Pacific Islands?
- list 2 of 4S Korea, Pacific Islands to boost ties after first-ever summit
- list 3 of 4Pacific Islands urge Japan to delay release of Fukushima waste
- list 4 of 4Pacific Islands fear brain drain from Australia job scheme
The reported shipment came at a sensitive time in the Solomon Islands, which has been forging closer security ties with China amid escalating geopolitical competition in the Pacific, as ethnic and political tensions were elevated following riots in the capital Honiara’s Chinatown.
Royal Solomon Islands Police Force (RSIPF) Commissioner Mostyn Mangau said at the time that 95 replica rifles and 92 replica pistols shipped to the country were “not capable of firing any live munitions” and did not “in any way threaten the security of this country”.
But despite official denials, US diplomats concluded that the firearms appeared to be real and that Solomon Island authorities were attempting “to recategorize an illicit arms shipment as an authorised shipment of ‘replica’ firearms”, according to a cable written by the US embassy in Papua New Guinea.
“The weapons in the photo were packed in wooden crates, appeared real, and had unique serial numbers,” the cable sent to Washington in March 2022 said.


In the cable, embassy officials cited an unnamed source who said he or she was “concerned because the weapons appeared real in every way, including in weight and mechanics”.
The cable also suggested that replica guns later displayed by the RSIPF in an effort to quell the controversy were “not the same” as the weapons contained in the shipment, which was carried out in secret and bypassed the country’s port authority.
US diplomats appeared to be incredulous at official explanations for the shipment, according to the documents, including RSIPF Commissioner Mangau’s claim that authorities often bypass laws for national security reasons when importing dangerous goods.
“He would have Solomon Islanders believe that offloading cargo from logging vessels onto barges that float into the capital at 3am is standard practice,” the cable said.
“According to Mangau’s explanation, it was not unusual for the government to import four large crates of weapons without listing items on a manifest, notifying customs officers, or informing the public.”
In another diplomatic cable, US diplomats expressed their view that Solomon Islands’ Prime Minister Manasseh Sogavare was seeking closer ties with China as a hedge against his own political vulnerability.
“Prime Minister Sogavare has no choice but to cleave to the People’s Republic of China [PRC] for his political survival and legacy but not all Solomon Islanders support the Sogavare-PRC symbiotic relationship,” said the cable sent in April 2022.
US diplomats also warned that growing discomfort with China’s influence in the Solomon Islands would “not automatically lead to a ‘USA good’ conclusion and that a “sizable portion” of the population did not see themselves as being on the side of either the US or Japan in the Solomon Islands campaign during World War II.
Al Jazeera received the documents, which were partially redacted, following a freedom of information request with the United States Agency for International Development.
Solomon Islands, located about 2,000km northeast of Australia, is among a number of sparsely-populated Pacific Island nations where Beijing is jockeying with Washington and its allies for influence.
Despite being home to just over 700,000 people, the archipelago, and other island countries such as Kiribati and Vanuatu, have received outsized attention from policymakers in major powers due to their strategic location in the Pacific.
In 2022, China and the Solomon Islands signed an agreement to boost their security cooperation despite protests by the US, Australia and New Zealand, which fear the prospect of a Chinese military base in the Pacific.
Later that year, the Australian Federal Police donated 60 MK18 rifles and 13 police vehicles to the RSIPF, prompting warnings of “militarisation” by Solomon Islands’ political opposition.
Honiara ended its diplomatic recognition of Taiwan in 2019 in order to forge diplomatic ties with Beijing, which considers the self-ruled island its territory.
Solomon Islands’ Office of the Prime Minister and Cabinet, the RSIPF and the Chinese embassy in Honiara did not respond to requests for comment.
The US Department of State did not respond to a request for comment in time for publication.

